
数据怎么来的?往下看。
根据《气体灭火系统设计规范》GB50370-2005
图书、档案、票据和文物资料库等防护区,灭火设计浓度宜采用10%。
油浸变压器室、带油开关的配电室和自备发电机房等防护区,灭火设计浓度宜采用9%。
通讯机房和电子计算机房等防护区,灭火设计浓度宜采用8%。
3.3.14灭火设计用量或惰化设计用量和系统灭火剂储存量,应符合下列规定:
1.防护区灭火设计用量或惰化设计用量应按下式计算:

防护区灭火设计用量或惰化设计用量
式中W——灭火设计用量或惰化设计用量(kg);
C1——灭火设计浓度或惰化设计浓度(%);
S——灭火剂过热蒸汽在101KPa大气压和防护区最低环境温度下的质量体积(m3/kg);
V——防护区的净容积(m3);
K——海拔高度修正系数,可按本规范附录B的规定取值。
2.灭火剂过热蒸汽在101KPa大气压和防护区最低环境温度下的比容,应按下式计算:

灭火剂过热蒸汽在101KPa大气压和防护区最低环境温度下的比容
式中T——防护区最低环境温度(℃)。
存放图书、档案等跟纸张、磁带、光盘等有关的防护区,以100立方米的防护区,海拔系数为0,钢瓶剩余量为3公斤计算,则100立方米需要85公斤的药剂。折算后,每立方米需要0.85公斤七氟丙烷。
发电机房、配电室、UPS间等防护区以100立方米的防护区,海拔系数为0,钢瓶剩余量为3公斤计算,则100立方米需要76公斤的药剂。折算后,每立方米需要0.76公斤七氟丙烷。
计算机房、微机房等防护区的以100立方米的防护区,海拔系数为0,钢瓶剩余量为2公斤计算,则100立方米需要66公斤的药剂。折算后,每立方米需要0.66公斤七氟丙烷。
根据《气体灭火系统设计规范》GB50370-2005
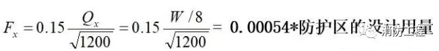
3.3.13防护区的泄压口面积,宜按下式计算:
3.3.13防护区的泄压口面积,宜按下式计算:

式中Fx——泄压口面积(m2);
Qx——灭火剂在防护区的平均喷放速率(kg/s);
Pf——围护结构承受内压的允许压强(Pa)。
根据规范3.2.6防护区围护结构承受内压的允许压强,不宜低于1200Pa
Pf取值一般为1200。
防护区的平均喷放速率Qx=设计用量/喷射时间。
设计用量根据防护区的用途和体积计算确定(用途不同,设计浓度不同,设计用量不同。)
喷放时间按规范条文3.3.7确定。
3.3.7在通讯机房和电子计算机房等防护区,设计喷放时间不应大于8s;在其它防护区,设计喷放时间不应大于10s。
防护区的平均喷放速率Qx=设计用量(KG)/喷射时间(s)
喷放时间8至10秒,按最小的8秒取值。
则泄压口的计算公式如下:










苏公网安备32058102002151号